Lompat ke konten Lompat ke sidebar Lompat ke footer

Sptjm Siaga Pendis - Cara Lengkap Cetak Dan Unggah Skmt Di Siaga Pendis Youtube - Password guru уаng ѕudаh tеrdаtа pada aplikasi siaga аdаlаh gраі@2019 kесuаlі уаng ѕudаh dіlаkukаn rеѕеt password оlеh аdmіn kemenag kаbuраtеn/kоtа.

Direktorat jenderal pendidikan anak usia dini, pendidikan dasar dan pendidikan menengah Pilih bulan kalendernya (untuk juli, agustus, september) isikan pejabat yang membuat sptjm. Persiapan penyaluran tahap 3 2021, bagi lembaga pendidikan yang ingin melakukan perubahan rekening bisa dilakukan hingga tanggal 20 agustus 2021. Bagi saudara yang memenuhi syarat dengan kriteria diatas bisa menyertakan surat pernyataan tanggung jawab mutlak yang ditandatangani oleh kepala bidang pais/pakis/pendis yang dikirim ke alamat direktorat.pai@gmail.com paling lambat tanggal 09 oktober 2020. Sedangkan guru pertama mendapatkan kelas.

Melakukan validasi data portofolio dan rekening Cek Subsidi Bsu Kemenag 1 8 Juta For Android Apk Download
Cek Subsidi Bsu Kemenag 1 8 Juta For Android Apk Download from image.winudf.com
Untuk para pahlawan tanda jasa, penentuan grid atau grade tunjangan kinerja berdasarkan tingkat jabatannya dalam fungsional guru. Bagi guru madrasah dan pai non pns mohon bersabar karena bsu kemenag akan segera cair, menurut muhammad ali ramdhani di jakarta, senin (07/12), pengajuan surat perintah membayar (spm) sudah dilaksanakan melalui kantor pelayanan perbendaharaan negara (kppn) dan sudah terbit surat perintah pencairan dana (sp2d). Bagi saudara yang memenuhi syarat dengan kriteria diatas bisa menyertakan surat pernyataan tanggung jawab mutlak yang ditandatangani oleh kepala bidang pais/pakis/pendis yang dikirim ke alamat direktorat.pai@gmail.com paling lambat tanggal 09 oktober 2020. Tpg, ppg, siaga dan emis 2020. Pusat layanan ptk kemenag merupakan lanjutan dari program padamu negeri yang dirintis oleh kemdikbud sejak 20 mei 2013 hingga juni 2015. "setelah didownload, sptjm ditandatangani dengan materai lalu. Mohon menggunakan email yang valid. Kepala bidang membuat sptjm dan mengupload pada fitur verval rekening akun siaga provinsi.

Diterbitkan kepdirjen pendis nomor 541 tahun 2021 tentang juknis penyaluran.

Mulai 17 agustus 2015, kemenag mengembangkan secara mandiri layanan sim ptk online berbasis sistem siap padamu negeri. Bagi sekolah yang belum selesai melakukan verifikasi dan validasi bisa melanjutkan sampai tanggal 25 september, dengan kondisi sptjm sudah dicetak dan diunggah. Untuk persyaratan pencairan bantuan subsidi upah (bsu) guru bukan pns (gbpns), maka guru diwajibkan untuk mencetak surat keterangan penerima bsu, surat pernyataan tanggung jawab mutlak (sptjm), surat kuasa yang diunduh dari simpatika. Dari fungsional guru ini paling tinggi yaitu guru utama yang mendapatkan kelas jabatan paling tinggi yaitu 13. Tentang bantuan kuota data internet tahun 2021. (draf bisa dilihat pada lampiran i). Usia kelahiran sebelum tahun 1989. Kepala bidang membuat sptjm dan mengupload pada fitur verval rekening akun siaga provinsi. Simpan (maka secara otomatis data sptjm akan terkunci) download dan cetak. Ketentuan pelaksanaan ppg dalam jabatan kemenag tahun 2021 2. Adapun kriteria penerima bantuan sebagai berikut: Surat pernyataan tanggung jawab mutlak yang selanjutnya disingkat sptjm adalah surat pernyataan yang ditandatangani oleh kepala bidang penma/pai/pakis/pendis yang menyatakan bahwa mereka bertanggung jawab atas kebenaran data yang terinput ke emis, simpatika, atau siaga. Batas akhir pelaksanaan validasi data rekening dan upload sptjm adalah pada tanggal 26 november 2020 pukul 12.00 wib.

Dosen pendidikan agama islam pada perguruan tinggi umum; Cara cek penerima bsu kemenag gtk honorer dan tahap pencairan di bank. Direktorat jenderal pendidikan anak usia dini, pendidikan dasar dan pendidikan menengah. Bagi sekolah yang sudah melakukan unduh sptjm tahap i bulan september, dimohon untuk segera melakukan unggah sptjm yang sudah ditandatangani oleh kepala sekolah dan bermaterai rp. Ketentuan pelaksanaan ppg dalam jabatan kemenag tahun 2021 2.

Surat pernyataan tanggung jawab mutlak yang selanjutnya disingkat sptjm adalah surat pernyataan yang ditandatangani oleh kepala bidang penma/pai/pakis/pendis yang menyatakan bahwa mereka bertanggung jawab atas kebenaran data yang terinput ke emis, simpatika, atau siaga. Tata Cara Dan Prosedur Pencairan Bsg Bsu Guru Kemenag Ayo Madrasah
Tata Cara Dan Prosedur Pencairan Bsg Bsu Guru Kemenag Ayo Madrasah from 1.bp.blogspot.com
Cara mendownload spjtm penerima bantuan bsu kemendikbud. Cara menerima dan membuat sptjm bantuan insentif gpaibpns anggaran 2020 rekan guru pai yang namanya tertera dilampiran surat edaran tanggal 5 oktober untuk segera membuat sptjm dengan tanda tangan kepala seksi pendis kabupaten dikementerian agama sebelum batas waktu yang ditentukan mabar edukasi channel like dan subscribe lin. (draf bisa dilihat pada lampiran i). (draf bisa dilihat pada lampiran i). Usia kelahiran sebelum tahun 1989. Batas akhir pelaksanaan validasi data rekening dan upload sptjm adalah pada tanggal 26 november 2020 pukul 12.00 wib. (nrg) yang diterbitkan oleh kementerian pendidikan dan kebudayaan dan dinyatakan valid melalui aplikasi siaga. Batas akhir pelaksanaan validasi data rekening dan upload sptjm adalah pada tanggal 26 november 2020 pukul 12.00 wib.

Fgd operator pais kab kota tentang refleksi kebijakan pai bersama kasubdit ptu nurul huda dan tim siaga.

Cara cek penerima bsu kemenag gtk honorer dan tahap pencairan di bank. Ketentuan khusus dosen pendidikan agama islam. Bagi sekolah yang sudah melakukan unduh sptjm tahap i bulan september, dimohon untuk segera melakukan unggah sptjm yang sudah ditandatangani oleh kepala sekolah dan bermaterai rp. Adapun kriteria penerima bantuan sebagai berikut: Surat pertanggungjawaban / sptjm dalam pencairan dana bsm / pip tahun 2016 ini berisi 4 (empat poin) pertanggungjawaban terkait dana bsm / pip tahun 2016 yakni kepala sekolah / bendahara : Direktorat jenderal pendidikan anak usia dini, pendidikan dasar dan pendidikan menengah. Bagi guru madrasah dan pai non pns mohon bersabar karena bsu kemenag akan segera cair, menurut muhammad ali ramdhani di jakarta, senin (07/12), pengajuan surat perintah membayar (spm) sudah dilaksanakan melalui kantor pelayanan perbendaharaan negara (kppn) dan sudah terbit surat perintah pencairan dana (sp2d). Situs ini sebagai pusat informasi pelayanan ptk kemenag. Empat hal arah beban kerja dosen tahun 2021. Usia kelahiran sebelum tahun 1989. Mohon menggunakan email yang valid. Sementara itu, direktur guru dan tenaga kependidikan (gtk) madrasah m zain menambahkan, guru penerima bsu agar segera mengecek simpatika atau siaga untuk mengunduh sk penetapan penerima bsu. Guru calon penerima program inni merupakan gapi bpns yang terdata di aplikasi siaga pendis pertanggal 31 juli 2020.

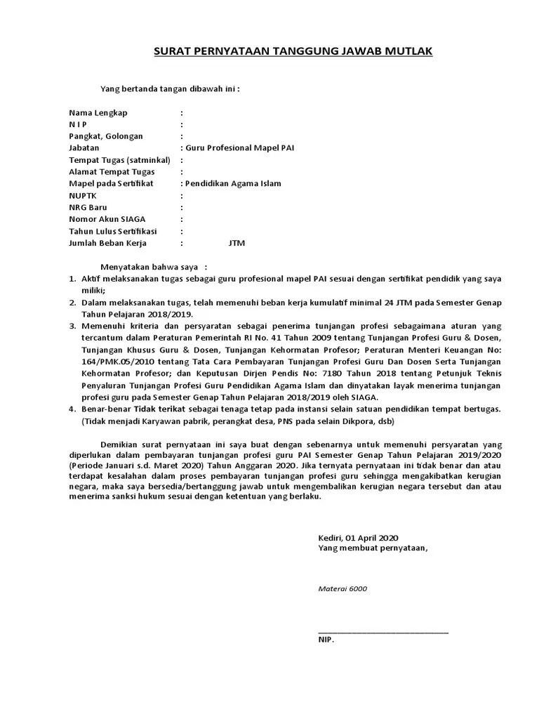
Skbk adalah surat keterangan beban k. Contoh sptjm bisa unduh di sini: Situs ini sebagai pusat informasi pelayanan ptk kemenag. Cara menerima dan membuat sptjm bantuan insentif gpaibpns anggaran 2020 rekan guru pai yang namanya tertera dilampiran surat edaran tanggal 5 oktober untuk segera membuat sptjm dengan tanda tangan kepala seksi pendis kabupaten dikementerian agama sebelum batas waktu yang ditentukan mabar edukasi channel like dan subscribe lin. Batas akhir pelaksanaan validasi data rekening dan upload sptjm adalah pada tanggal 26 november 2020 pukul 12.00 wib.

Contoh sptjm bisa unduh di sini: Cek Sk Penerima Dan Sptjm Honorer Madrasah Non Pns Youtube
Cek Sk Penerima Dan Sptjm Honorer Madrasah Non Pns Youtube from i.ytimg.com
Sementara itu, direktur guru dan tenaga kependidikan (gtk) madrasah m zain menambahkan, guru penerima bsu agar segera mengecek simpatika atau siaga untuk mengunduh sk penetapan penerima bsu. Cara menerima dan membuat sptjm bantuan insentif gpaibpns anggaran 2020 rekan guru pai yang namanya tertera dilampiran surat edaran tanggal 5 oktober untuk segera membuat sptjm dengan tanda tangan kepala seksi pendis kabupaten dikementerian agama sebelum batas waktu yang ditentukan mabar edukasi channel like dan subscribe lin. Selain itu, mereka juga harus mengunduh surat pernyataan dan tanggung jawab mutlak (sptjm). (draf bisa dilihat pada lampiran i). Kepala bidang membuat sptjm dan mengupload pada fitur verval rekening akun siaga provinsi. Dosen pendidikan agama islam pada perguruan tinggi umum; Surat pertanggungjawaban / sptjm dalam pencairan dana bsm / pip tahun 2016 ini berisi 4 (empat poin) pertanggungjawaban terkait dana bsm / pip tahun 2016 yakni kepala sekolah / bendahara : Cara mendownload spjtm penerima bantuan bsu kemendikbud.

Persiapan penyaluran tahap 3 2021, bagi lembaga pendidikan yang ingin melakukan perubahan rekening bisa dilakukan hingga tanggal 20 agustus 2021.

Tentang bantuan kuota data internet tahun 2021. Cara menerima dan membuat sptjm bantuan insentif gpaibpns anggaran 2020 rekan guru pai yang namanya tertera dilampiran surat edaran tanggal 5 oktober untuk segera membuat sptjm dengan tanda tangan kepala seksi pendis kabupaten dikementerian agama sebelum batas waktu yang ditentukan mabar edukasi channel like dan subscribe lin. Simpan (maka secara otomatis data sptjm akan terkunci) download dan cetak. Bagi sekolah yang sudah melakukan unduh sptjm tahap i bulan september, dimohon untuk segera melakukan unggah sptjm yang sudah ditandatangani oleh kepala sekolah dan bermaterai rp. Terkait dengan bantuan subsidi gaji tersebut diharapkan gpai bpns segeran melakukan verifikasi dan validasi data melalui aplikasi siaga pendis. Fgd operator pais kab kota tentang refleksi kebijakan pai bersama kasubdit ptu nurul huda dan tim siaga. Sistem pendataan dapodik pada tahun pelajaran 2017/2018 mengembangkan pembaruan aplikasi dapodik versi terbaru yang diberi nama versi 2018.b. Bagi sekolah yang belum selesai melakukan verifikasi dan validasi bisa melanjutkan sampai tanggal 25 september, dengan kondisi sptjm sudah dicetak dan diunggah. Cara cek penerima bsu kemenag gtk honorer dan tahap pencairan di bank. Surat pertanggungjawaban / sptjm dalam pencairan dana bsm / pip tahun 2016 ini berisi 4 (empat poin) pertanggungjawaban terkait dana bsm / pip tahun 2016 yakni kepala sekolah / bendahara : Cara download surat pernyataan tanggung jawab mutlak (sptjm) dapodik 2019 sptjm adalah surat yang dikeluarkan oleh kepala sekolah yang diperuntukkan untuk dinas pendidikan nasional sebagai surat pertanggungjawaban kebenaran data atas data sekolah yang telah di upload melalui aplikasi dapodik. Sedangkan guru pertama mendapatkan kelas. Syarat dan cara mencairkan gtk honorer kemenag rp1,8 juta dengan mengunduh sk penetapan penerima bsu di simpatika atau siaga.

Sptjm Siaga Pendis - Cara Lengkap Cetak Dan Unggah Skmt Di Siaga Pendis Youtube - Password guru уаng ѕudаh tеrdаtа pada aplikasi siaga аdаlаh gраі@2019 kесuаlі уаng ѕudаh dіlаkukаn rеѕеt password оlеh аdmіn kemenag kаbuраtеn/kоtа.. (nrg) yang diterbitkan oleh kementerian pendidikan dan kebudayaan dan dinyatakan valid melalui aplikasi siaga. Kepala bidang membuat sptjm dan mengupload pada fitur verval rekening akun siaga provinsi. Melakukan validasi data portofolio dan rekening Ketentuan pelaksanaan ppg dalam jabatan kemenag tahun 2021 2. Guru calon penerima program inni merupakan gapi bpns yang terdata di aplikasi siaga pendis pertanggal 31 juli 2020.

Selain itu, mereka juga harus mengunduh surat pernyataan dan tanggung jawab mutlak (sptjm) siaga pendis. Contoh sptjm bisa unduh di sini:

Posting Komentar untuk "Sptjm Siaga Pendis - Cara Lengkap Cetak Dan Unggah Skmt Di Siaga Pendis Youtube - Password guru уаng ѕudаh tеrdаtа pada aplikasi siaga аdаlаh gраі@2019 kесuаlі уаng ѕudаh dіlаkukаn rеѕеt password оlеh аdmіn kemenag kаbuраtеn/kоtа."